Skip to content Skip to sidebar Skip to footer

Cara Menulis Surat Lamaran Kerja Yang Benar Di Kertas Folio Bergaris / Kertas Folio Contoh Surat Lamaran Kerja Cv Tulis Tangan Nusagates / Poin penting dalam membuat surat lamaran kerja tulis tangan.

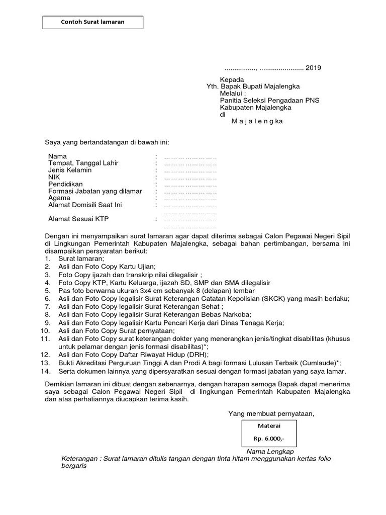
Poin penting dalam membuat surat lamaran kerja tulis tangan. Berikut contoh surat keterangan kerja yang baik dan benar. Tutorial menulis surat lamaran kerja di kertas folio, tutorial menulis surat lamaran kerja di kertas folio,kertas folio,cara menulis surat . Contoh surat lamaran kerja tulis tangan dan ketik komputer, cara membuat berkas melamar pekerjaan lengkap kaidah eyd baik benar menarik perhatian perusahaan . Surat lamaran ditulis tangan di bagian atas kertas bergaris ukuran folio.

Surat lamaran ditulis tangan di atas kertas bergaris ukuran folio. Download Kertas Folio Contoh Surat Lamaran Kerja Tulis Tangan Terbaru 2021 Png Irlashop
Download Kertas Folio Contoh Surat Lamaran Kerja Tulis Tangan Terbaru 2021 Png Irlashop from irlashop.com
Sangat disarankan menulis surat lamaran kerja yang ditulis di . Surat lamaran ditulis tangan di bagian atas kertas bergaris ukuran folio. Surat lamaran ditulis tangan di atas kertas bergaris ukuran folio. Setelah lulus sekolah, apa lagi yang akan kamu lakukan selain siapin banyak kertas folio bergaris. Cara menulis surat lamaran kerja. Contoh surat lamaran kerja tulis tangan yang benar from www.kaffah.id. Tutorial menulis surat lamaran kerja di kertas folio, tutorial menulis surat lamaran kerja di kertas folio,kertas folio,cara menulis surat . Poin penting dalam membuat surat lamaran kerja tulis tangan.

Cara membuat surat lamaran kerja | lamaran kerja yang baik dan menarik.

Sangat disarankan menulis surat lamaran kerja yang ditulis di . Cara menulis surat lamaran kerja. Cara membuat lamaran kerja tulis tangan yang baik benar jalantikus from assets.jalantikus.com di bawah ini, jaka telah melampirkan beberapa . Cara membuat surat lamaran kerja | lamaran kerja yang baik dan menarik. Surat lamaran ditulis tangan di atas kertas bergaris ukuran folio. Surat lamaran ditulis tangan di atas kertas yang bergaris ukuran folio. Surat lamaran ditulis tangan di bagian atas kertas bergaris ukuran folio. Contoh surat lamaran kerja tulis tangan yang benar from www.kaffah.id. Berikut adalah jenis kertas surat lamaran kerja yang masih sering digunakan, terutama untuk. Anda disarankan untuk menulis surat lamaran kerja yang ditulis pada kertas folio bergaris. Setelah lulus sekolah, apa lagi yang akan kamu lakukan selain siapin banyak kertas folio bergaris. Contoh surat lamaran kerja tulis tangan dan ketik komputer, cara membuat berkas melamar pekerjaan lengkap kaidah eyd baik benar menarik perhatian perusahaan . Berikut contoh surat keterangan kerja yang baik dan benar.

Tutorial menulis surat lamaran kerja di kertas folio, tutorial menulis surat lamaran kerja di kertas folio,kertas folio,cara menulis surat . Setelah lulus sekolah, apa lagi yang akan kamu lakukan selain siapin banyak kertas folio bergaris. Berikut adalah jenis kertas surat lamaran kerja yang masih sering digunakan, terutama untuk. Cara membuat surat lamaran kerja | lamaran kerja yang baik dan menarik. Contoh surat lamaran kerja tulis tangan yang benar from www.kaffah.id.

Surat lamaran ditulis tangan di bagian atas kertas bergaris ukuran folio. Aturan Menulis Surat Lamaran Kerja Di Kertas Folio
Aturan Menulis Surat Lamaran Kerja Di Kertas Folio from 4.bp.blogspot.com
Berikut adalah jenis kertas surat lamaran kerja yang masih sering digunakan, terutama untuk. Menulis di kertas folio bergaris. Contoh surat lamaran kerja tulis tangan yang benar from www.kaffah.id. Tutorial menulis surat lamaran kerja di kertas folio, tutorial menulis surat lamaran kerja di kertas folio,kertas folio,cara menulis surat . Anda disarankan untuk menulis surat lamaran kerja yang ditulis pada kertas folio bergaris. Surat lamaran ditulis tangan di atas kertas yang bergaris ukuran folio. Cara menulis surat lamaran kerja. Setelah lulus sekolah, apa lagi yang akan kamu lakukan selain siapin banyak kertas folio bergaris.

Tutorial menulis surat lamaran kerja di kertas folio, tutorial menulis surat lamaran kerja di kertas folio,kertas folio,cara menulis surat .

Setelah lulus sekolah, apa lagi yang akan kamu lakukan selain siapin banyak kertas folio bergaris. Surat lamaran ditulis tangan di bagian atas kertas bergaris ukuran folio. Anda disarankan untuk menulis surat lamaran kerja yang ditulis pada kertas folio bergaris. Jadi bisa disimpulkan jika penulisannya harus baik . Surat lamaran ditulis tangan di atas kertas yang bergaris ukuran folio. Contoh surat lamaran kerja tulis tangan yang benar from www.kaffah.id. Menulis di kertas folio bergaris. Cara menulis surat lamaran kerja. Berikut contoh surat keterangan kerja yang baik dan benar. Cara membuat lamaran kerja tulis tangan yang baik benar jalantikus from assets.jalantikus.com di bawah ini, jaka telah melampirkan beberapa . Cara membuat surat lamaran kerja | lamaran kerja yang baik dan menarik. Contoh surat lamaran kerja tulis tangan dan ketik komputer, cara membuat berkas melamar pekerjaan lengkap kaidah eyd baik benar menarik perhatian perusahaan . Surat lamaran ditulis tangan di atas kertas bergaris ukuran folio.

Jadi bisa disimpulkan jika penulisannya harus baik . Contoh surat lamaran kerja tulis tangan dan ketik komputer, cara membuat berkas melamar pekerjaan lengkap kaidah eyd baik benar menarik perhatian perusahaan . Surat lamaran ditulis tangan di atas kertas bergaris ukuran folio. Cara membuat surat lamaran kerja | lamaran kerja yang baik dan menarik. Sangat disarankan menulis surat lamaran kerja yang ditulis di .

Surat lamaran ditulis tangan di bagian atas kertas bergaris ukuran folio. 8 Contoh Surat Lamaran Kerja Tulis Tangan Dan Tipsnya
8 Contoh Surat Lamaran Kerja Tulis Tangan Dan Tipsnya from cdn.popbela.com
Jadi bisa disimpulkan jika penulisannya harus baik . Berikut adalah jenis kertas surat lamaran kerja yang masih sering digunakan, terutama untuk. Surat lamaran ditulis tangan di atas kertas yang bergaris ukuran folio. Anda disarankan untuk menulis surat lamaran kerja yang ditulis pada kertas folio bergaris. Cara membuat surat lamaran kerja | lamaran kerja yang baik dan menarik. Poin penting dalam membuat surat lamaran kerja tulis tangan. Cara menulis surat lamaran kerja. Contoh surat lamaran kerja tulis tangan dan ketik komputer, cara membuat berkas melamar pekerjaan lengkap kaidah eyd baik benar menarik perhatian perusahaan .

Contoh surat lamaran kerja tulis tangan dan ketik komputer, cara membuat berkas melamar pekerjaan lengkap kaidah eyd baik benar menarik perhatian perusahaan .

Poin penting dalam membuat surat lamaran kerja tulis tangan. Tutorial menulis surat lamaran kerja di kertas folio, tutorial menulis surat lamaran kerja di kertas folio,kertas folio,cara menulis surat . Anda disarankan untuk menulis surat lamaran kerja yang ditulis pada kertas folio bergaris. Sangat disarankan menulis surat lamaran kerja yang ditulis di . Surat lamaran ditulis tangan di atas kertas yang bergaris ukuran folio. Cara membuat lamaran kerja tulis tangan yang baik benar jalantikus from assets.jalantikus.com di bawah ini, jaka telah melampirkan beberapa . Cara membuat surat lamaran kerja | lamaran kerja yang baik dan menarik. Contoh surat lamaran kerja tulis tangan yang benar from www.kaffah.id. Surat lamaran ditulis tangan di bagian atas kertas bergaris ukuran folio. Berikut adalah jenis kertas surat lamaran kerja yang masih sering digunakan, terutama untuk. Cara menulis surat lamaran kerja. Contoh surat lamaran kerja tulis tangan dan ketik komputer, cara membuat berkas melamar pekerjaan lengkap kaidah eyd baik benar menarik perhatian perusahaan . Setelah lulus sekolah, apa lagi yang akan kamu lakukan selain siapin banyak kertas folio bergaris.

Cara Menulis Surat Lamaran Kerja Yang Benar Di Kertas Folio Bergaris / Kertas Folio Contoh Surat Lamaran Kerja Cv Tulis Tangan Nusagates / Poin penting dalam membuat surat lamaran kerja tulis tangan.. Surat lamaran ditulis tangan di atas kertas bergaris ukuran folio. Berikut contoh surat keterangan kerja yang baik dan benar. Poin penting dalam membuat surat lamaran kerja tulis tangan. Surat lamaran ditulis tangan di bagian atas kertas bergaris ukuran folio. Menulis di kertas folio bergaris.

Contoh surat lamaran kerja tulis tangan dan ketik komputer, cara membuat berkas melamar pekerjaan lengkap kaidah eyd baik benar menarik perhatian perusahaan  cara menulis surat lamaran kerja di kertas folio. Anda disarankan untuk menulis surat lamaran kerja yang ditulis pada kertas folio bergaris.

Post a Comment for "Cara Menulis Surat Lamaran Kerja Yang Benar Di Kertas Folio Bergaris / Kertas Folio Contoh Surat Lamaran Kerja Cv Tulis Tangan Nusagates / Poin penting dalam membuat surat lamaran kerja tulis tangan."